Calibration and validation
The model calibration is similar to PCA, but there are several additional arguments, which are important for classification. First of all, it is a class name, which is a second mandatory argument. The class name is a string that can be used later e.g. for identifying class members for testing. The second important argument is the level of significance, alpha. This parameter is used for calculation of statistical limits and can be considered as probability for false negatives. The default value is 0.05. Finally the parameter lim.type allows to select the method for computing critical limits for the distances, as it is described in the PCA chapter. By default lim.type = "ddmoments" (data driven, based on classical moments) in PCA.
In this chapter as well as for describing other classification methods we will use a famous Iris dataset, available in R. The dataset includes 150 measurements of three Iris species: Setosa, Virginica and Versicola. The measurements are length and width of petals and sepals in cm. Use ?iris for more details.
Let’s get the data and split it to calibration and test sets.
## Sepal.Length Sepal.Width Petal.Length Petal.Width Species
## 1 5.1 3.5 1.4 0.2 setosa
## 2 4.9 3.0 1.4 0.2 setosa
## 3 4.7 3.2 1.3 0.2 setosa
## 4 4.6 3.1 1.5 0.2 setosa
## 5 5.0 3.6 1.4 0.2 setosa
## 6 5.4 3.9 1.7 0.4 setosa
# generate indices for calibration set
idx = seq(1, nrow(iris), by = 2)
# split the values
Xc = iris[idx, 1:4]
cc = iris[idx, 5]
Xt = iris[-idx, 1:4]
ct = iris[-idx, 5]Now, because for calibration we need only objects belonging to a class, we will split Xc into three matrices — one for each species. The data is ordered by the species, so it can be done relatively easily by taking every 25 rows.
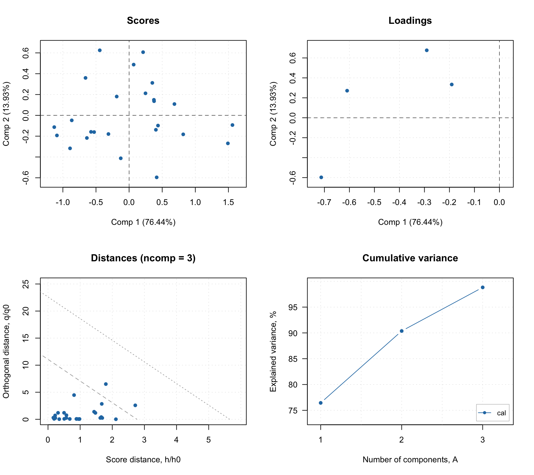
Let’s start with creating a model for class Versicolor and exploring available statistics and plots. In this case default values for method and significance level to compute the critical limits (lim.type = "ddmoments" and alpha = 0.05) are used.
##
## SIMCA model for class 'versicolor' summary
##
##
## Number of components: 3
## Type of limits: ddmoments
## Alpha: 0.05
## Gamma: 0.01
##
## Expvar Cumexpvar TP FP TN FN Spec. Sens. Accuracy
## Cal 8.45 98.82 23 0 0 2 NA 0.92 0.92
The summary output shows (in addition to explained and cumulative explained variance) number of true positives, false positives, true negatives, false negatives as well as specificity, sensitivity and accuracy of classification. All statistics are shown for each available result object (in this case only calibration) and only for optimal number of components (in this case 3).
The summary plot looks very similar to what we have seen for PCA.

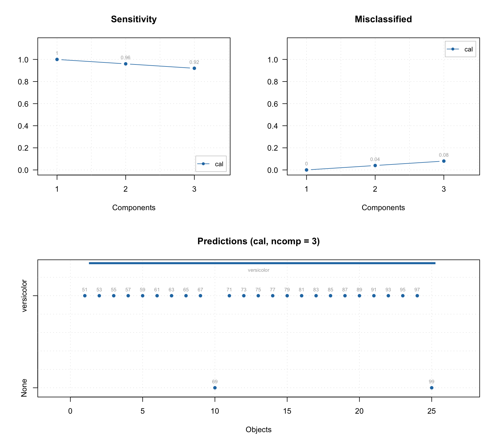
In addition to standard PCA plots, SIMCA model (as well as any other classification model, e.g. PLS-DA) can show plot for sensitivity and ratio of misclassified values depending on the number of components. Plus a prediction plot, which shows classification results for each object. See the example below.
layout(matrix(c(1, 3, 2, 3), ncol = 2))
plotSensitivity(m, show.labels = TRUE)
plotMisclassified(m, show.labels = TRUE)
plotPredictions(m, show.labels = TRUE)
Validation
Because SIMCA is based on PCA, you can use any validation method described in PCA section. Just keep in mind that when cross-validation is used, only performance statistics will be computed (in this case classification performance). Therefore cross-validated result object will not contain scores, distances, explained variance etc. and corresponding plots will not be available.
Here I will show briefly an example based on Procrustes cross-validation. First we load the pcv package and create a PV-set for the target class (versicolor):
Then we create a SIMCA model with PV-set as test set:
Let’s look at the sensitivity and explained variance plots:
par(mfrow = c(1, 2))
plotSensitivity(m, show.line = c(NA, 0.95))
plotVariance(m, type = "h", show.labels = TRUE)
Based on the plot we can select 2 PCs as optimal number. We set this value and show the summary:
##
## SIMCA model for class 'versicolor' summary
##
##
## Number of components: 2
## Type of limits: ddmoments
## Alpha: 0.05
## Gamma: 0.01
##
## Expvar Cumexpvar TP FP TN FN Spec. Sens. Accuracy
## Cal 13.93 90.37 24 0 0 1 NA 0.96 0.96
## Test 11.49 86.87 24 0 0 1 NA 0.96 0.96
Predictions and testing the model
When model is calibrated and optimized, one can test it using a test set with known classes. In this case we will use objects from all three species and be able to see how well the model performs on strangers (and calculate the specificity). In order to do that we will provide both matrix with predictors, Xt, and a vector with names of the classes for corresponding objects/rows (ct). The values with known classes in this case can be:
- a vector with text values (names)
- a factor using the names as labels (also as a vector)
- a vector with logical values (
TRUEfor class members andFALSEfor strangers)
In our case we have a vector with text values, which will be automatically converted to a factor by the function predict(). Instead of creating a new model and providing the values as test set we will simply make predictions.
##
## Summary for SIMCA one-class classification result
##
## Class name: versicolor
## Number of selected components: 2
##
## Expvar Cumexpvar TP FP TN FN Spec. Sens. Accuracy
## Comp 1 64.27 64.27 25 4 46 0 0.92 1 0.947
## Comp 2 1.67 65.95 25 4 46 0 0.92 1 0.947
## Comp 3 32.45 98.40 25 2 48 0 0.96 1 0.973
In this case we can also see the specificity values and corresponding plot can be made, as shown below together with other plots.
par(mfrow = c(2, 2))
plotSpecificity(res, show.labels = TRUE)
plotSensitivity(res, show.labels = TRUE)
plotMisclassified(res, show.labels = TRUE)
plotPredictions(res)
As you can see, the prediction plot looks a bit different in this case. Because the test set has objects from several classes and the class belonging is known, this information is shown as color bar legend. For instance, in the example above we can see, that two Virginica objects were erroneously classified as members of Versicolor.
You can also show the predictions as a matrix with \(-1\) and \(+1\) using method showPredictions() or get the array with predicted class values directly as it is shown in the example below (for 10 rows in the middle of the data, different number of components and the first classification variable).
## Comp 1 Comp 2 Comp 3
## 90 1 1 1
## 92 1 1 1
## 94 1 1 1
## 96 1 1 1
## 98 1 1 1
## 100 1 1 1
## 102 -1 -1 -1
## 104 -1 -1 -1
## 106 -1 -1 -1
## 108 -1 -1 -1
## 110 -1 -1 -1
You can also get and show the confusion matrix (rows correspond to real classes and columns to the predicted class) for an object with SIMCA results (as well as results obtained with any other classification method, e.g. PLS-DA).
## versicolor None
## versicolor 25 0
## setosa 0 25
## virginica 4 21
Class belonging probabilities
In addition to the array with predicted class, the object with SIMCA results also contains an array with class belongings probabilities. The probabilities are calculated depending on how close a particular object is to the critical limit border.
To compute the probability we use the theoretical distribution for score and orthogonal distances as when computing critical values (defined by the parameter lim.type). The distribution is used to calculate a p-value — chance to get object with given distance value or larger. The p-value is then compared with significance level, \(\alpha\), and the probability, \(\pi\) is calculated as follows:
\[\pi = 0.5 (p / \alpha) \]
So if p-value is the same as significance level (which happens when object is lying exactly on the acceptance line) the probability is 0.5. If p-value is e.g. 0.04, \(\pi = 0.4\), or 40%, and the object will be rejected as a stranger (here we assume that the \(\alpha = 0.05\)). If the p-value is e.g. 0.06, \(\pi = 0.6\), or 60%, and the object will be accepted as a member of the class. If p-value is larger than \(2\times\alpha\) the probability is set to 1.
In case of rectangular acceptance area (lim.type = "jm" or "chisq") the probability is computed separately for \(q\) and \(h\) values and the smallest of the two is taken. In case of triangular acceptance area (lim.type = "ddmoments" or "ddrobust") the probability is calculated for a full distance, \(f\).
Here is how to show the probability values, that correspond to the predictions shown in the previous code chunk. I round the probability values to four decimals for better output.
## Comp 1 Comp 2 Comp 3
## 90 1.0000 1.0000 1.0000
## 92 1.0000 1.0000 1.0000
## 94 1.0000 1.0000 1.0000
## 96 1.0000 1.0000 1.0000
## 98 1.0000 1.0000 1.0000
## 100 1.0000 1.0000 1.0000
## 102 0.0376 0.1121 0.0028
## 104 0.0285 0.0477 0.0216
## 106 0.0000 0.0000 0.0000
## 108 0.0006 0.0002 0.0000
## 110 0.0001 0.0000 0.0000
It is also possible to show the probability values as a plot with method plotProbabilities():
par(mfrow = c(2, 1))
plotProbabilities(res, cgroup = ct)
plotProbabilities(res, ncomp = 2, cgroup = ct)
The plot can be shown for any SIMCA results (including e.g. calibration set or cross-validated results).